Documentation Index
Fetch the complete documentation index at: https://docs.bawabah.app/llms.txt
Use this file to discover all available pages before exploring further.
المتطلبات المسبقة
قبل البدء باستخدام بوابة، يجب أن يكون لديك:جاهز للبدء؟
انتقل إلى البدء السريع.
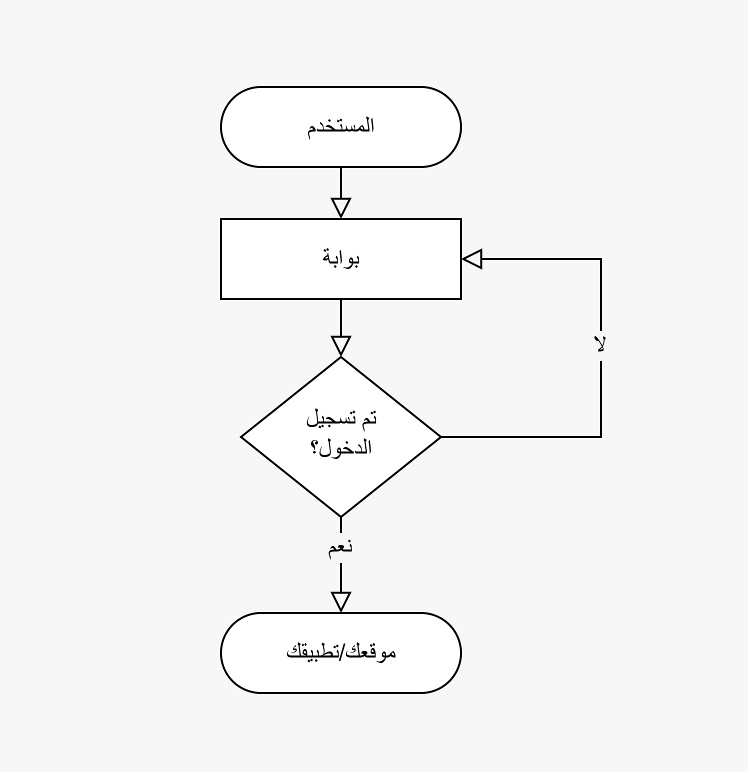
كيف تعمل بوابة?

هيكلية المستندات البرمجية
البدء السريع
انتقل إلى البدء السريع.
تسجيل الدخول المستضاف
الحل الأسهل لتسجيل الدخول.
تسجيل الدخول عبر النموذج
خصص نموذج الدخول من بوابة على موقعك.
أمثلة
أمثلة للتكامل البرمجي.